2017년 8월 23일 수요일

[영어독해 #20] 제목-빈칸-어법-무관한문장-글순서

[영어독해 #20] 제목-빈칸-글순서

[1.빈칸-제목]----------------------------------------------------------------------





[2.어법]----------------------------------------------------------------------





[3.무관한 문장]----------------------------------------------------------------------





[4. 글순서]----------------------------------------------------------------------






[확률통계 #28] 이산확률분포/레벨-1,2

[확률통계 #28] 이산확률분포/레벨-1,2

[레벨1-3]--------------------------------------------------------------------------------


[레벨1-4]--------------------------------------------------------------------------------


[레벨1-5]--------------------------------------------------------------------------------


[레벨2-1]--------------------------------------------------------------------------------


[레벨2-2]--------------------------------------------------------------------------------


[레벨2-3]--------------------------------------------------------------------------------



[공식]-------------------------------------------------------------------------
-자연수의 합
- 등비/등차 수열의 합


[확률통계 #27(2)] 이산확률분포/레벨-1

[확률통계 #27(2)] 이산확률분포/레벨-1

[레벨1-1]----------------------------------------------------------------------------


[레벨1-2]----------------------------------------------------------------------------





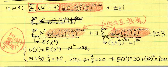
[확률통계 #27(1)] 통계/3.이항분포 (예제,유제)

[확률통계 #27(1)] 통계/3.이항분포 (예제,유제)

통계유형(복습)-------------------------------------------------------------





[예제6]---------------------------------------------------------------------------


[예제8]---------------------------------------------------------------------------


[유제9]---------------------------------------------------------------------------