[확률통계 #30(2)] 통계/(5) 정규분포
[예]-----------------------------------------------------------------------------------------
2017년 8월 31일 목요일
[확률통계 #30(1)] 통계/(4) 확률밀도함수 (예제)
[확률통계 #30(1)] 통계/(4) 확률밀도함수 (예제)
[예제1]-----------------------------------------------------------------------------------
[유제1]-----------------------------------------------------------------------------------
[유제2]-----------------------------------------------------------------------------------
[예제1]-----------------------------------------------------------------------------------
[유제2]-----------------------------------------------------------------------------------
[미적분II #41] 적분법/치환적분
[미적분II #41] 적분법/치환적분
[예]----------------------------------------------------------------------------------
[예]----------------------------------------------------------------------------------
[2014.9모]-----------------------------------------------------------------------------
[2016.6모]-----------------------------------------------------------------------------
[치환적분방법]------------------------------------------------------------------------
[예제2]--------------------------------------------------------------------------------
[치환적분]-----------------------------------------------------------------------------
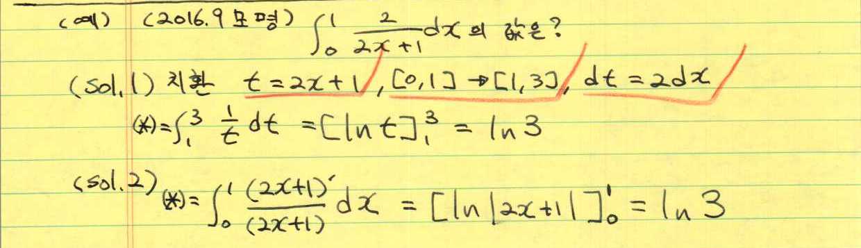
[2016.9모평]---------------------------------------------------------------------------
[유제3]--------------------------------------------------------------------------------
[유제4]--------------------------------------------------------------------------------
[예]----------------------------------------------------------------------------------
[예]----------------------------------------------------------------------------------
[2014.9모]-----------------------------------------------------------------------------
[2016.6모]-----------------------------------------------------------------------------
[치환적분방법]------------------------------------------------------------------------
[예제2]--------------------------------------------------------------------------------
[치환적분]-----------------------------------------------------------------------------
[2016.9모평]---------------------------------------------------------------------------
[유제3]--------------------------------------------------------------------------------
[유제4]--------------------------------------------------------------------------------
[기하벡터 #31(2)] 공간좌표/구
[기하벡터 #31(2)] 공간좌표/구
[예제4]-----------------------------------------------------------------------------------
[유제6]-----------------------------------------------------------------------------------
[예제4]-----------------------------------------------------------------------------------
[유제6]-----------------------------------------------------------------------------------
[기하벡터 #31(1)] 공간좌표/내외분점,무게중심
[기하벡터 #31(1)] 공간좌표/내외분점,무게중심
[예제3]--------------------------------------------------------------------------------
[유제4]--------------------------------------------------------------------------------
[유제5]--------------------------------------------------------------------------------
[예제3]--------------------------------------------------------------------------------
[유제4]--------------------------------------------------------------------------------
[유제5]--------------------------------------------------------------------------------
2017년 8월 30일 수요일
[확률통계 #29(1)] 이산확률분포/레벨-3
[확률통계 #29(1)] 이산확률분포/레벨-3
[레벨3-2]--------------------------------------------------------------------------------
[레벨3-3]--------------------------------------------------------------------------------
[대수능2016]----------------------------------------------------------------------------
[레벨3-2]--------------------------------------------------------------------------------
[레벨3-3]--------------------------------------------------------------------------------
[대수능2016]----------------------------------------------------------------------------
[미적분II #40] 여러가지 적분법
[미적분II #40] 여러가지 적분법
[정적분의 정의]----------------------------------------------------------------------------
[적분과 미분의 정의]----------------------------------------------------------------------
[적분법]----------------------------------------------------------------------------
[지수함수 적분법]-------------------------------------------------------------------------
[삼각함수 적분법]-------------------------------------------------------------------------
[예제1]------------------------------------------------------------------------------------
[유제1]------------------------------------------------------------------------------------
[유제2]------------------------------------------------------------------------------------
[레벨1-1]---------------------------------------------------------------------------------
[OMT1]---------------------------------------------------------------------------------
[OMT2]---------------------------------------------------------------------------------
[OMT3]---------------------------------------------------------------------------------
[정적분의 정의]----------------------------------------------------------------------------
[적분과 미분의 정의]----------------------------------------------------------------------
[적분법]----------------------------------------------------------------------------
[지수함수 적분법]-------------------------------------------------------------------------
[삼각함수 적분법]-------------------------------------------------------------------------
[예제1]------------------------------------------------------------------------------------
[유제1]------------------------------------------------------------------------------------
[유제2]------------------------------------------------------------------------------------
[레벨1-1]---------------------------------------------------------------------------------
[OMT1]---------------------------------------------------------------------------------
[OMT2]---------------------------------------------------------------------------------
[OMT3]---------------------------------------------------------------------------------
피드 구독하기:
덧글 (Atom)

























































